返回首页
长辈版
无障碍
网站首页
>
信息公开
>霍邱县教育局
>
基层重点领域信息公开
>
教育
>
职业教育
索
引
号:
11341423003236051E/202511-00003
组配分类:
职业教育
发布机构:
霍邱县教育局
主题分类:
科技、教育,其他
成文日期:
暂无
发文日期:
2025-11-10 16:32
文 号:
关
键
词:
名 称:
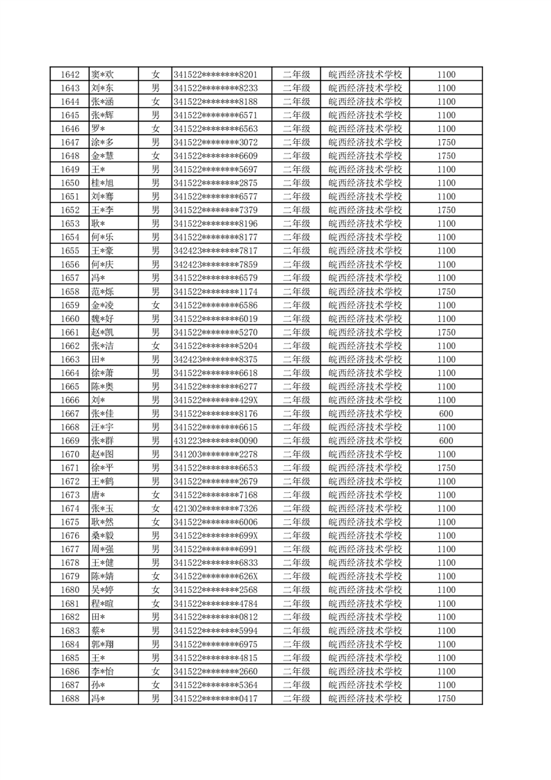
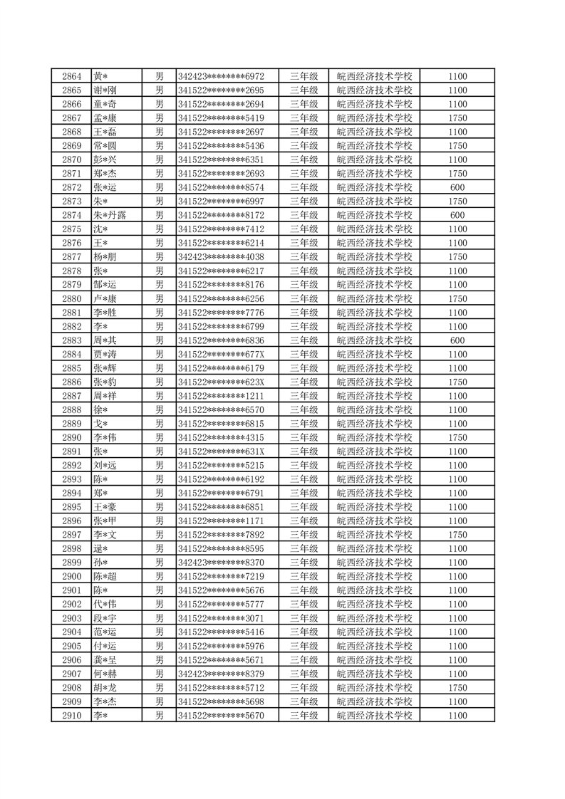
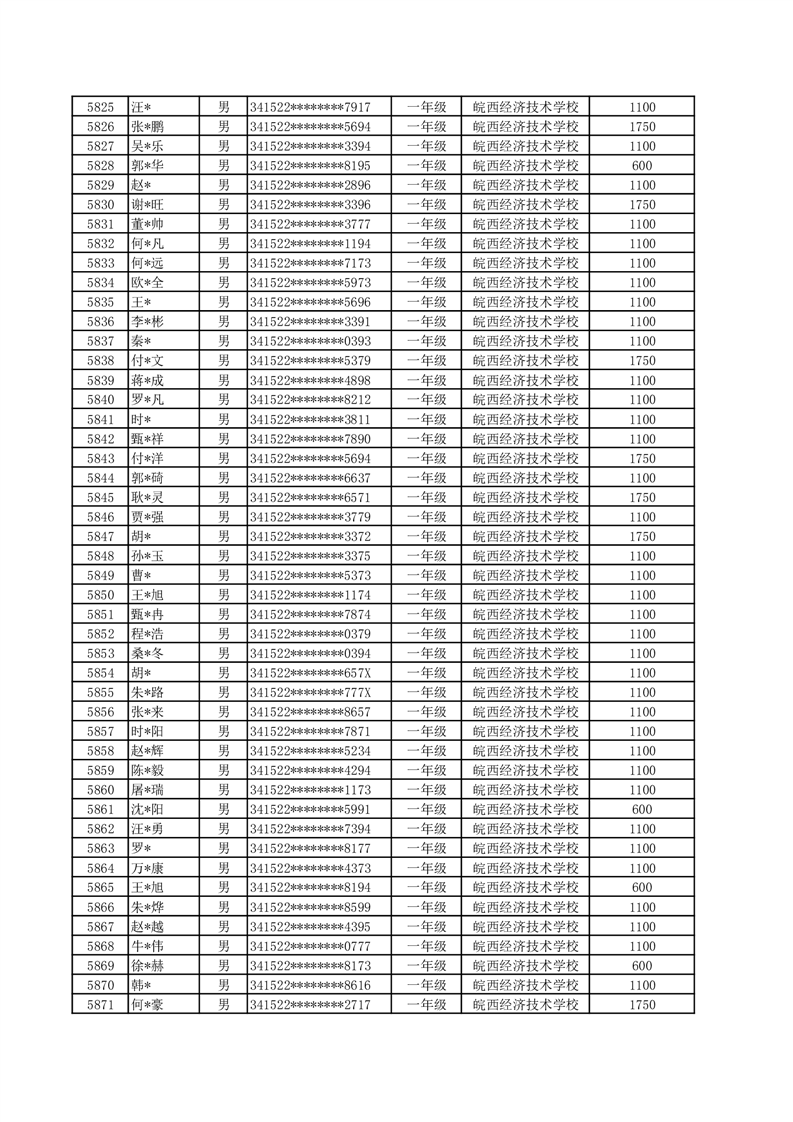
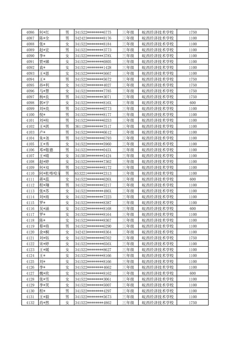
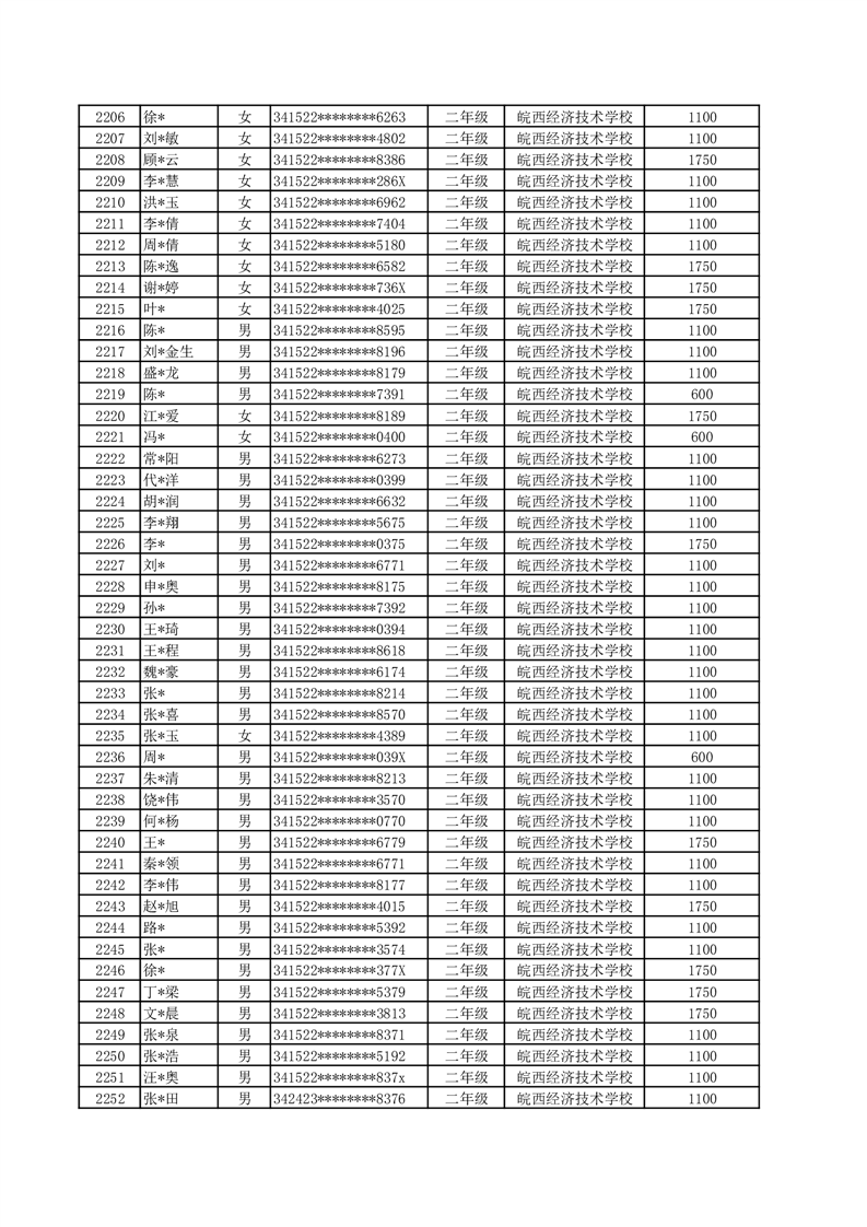
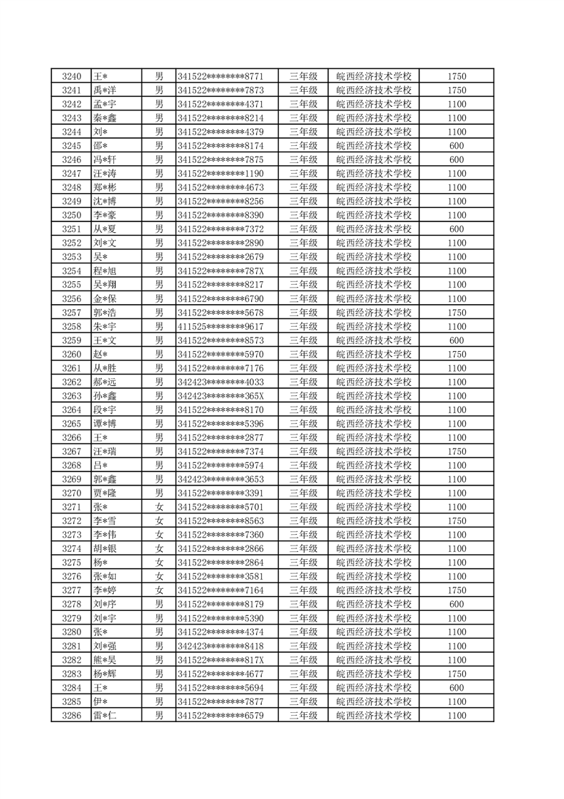
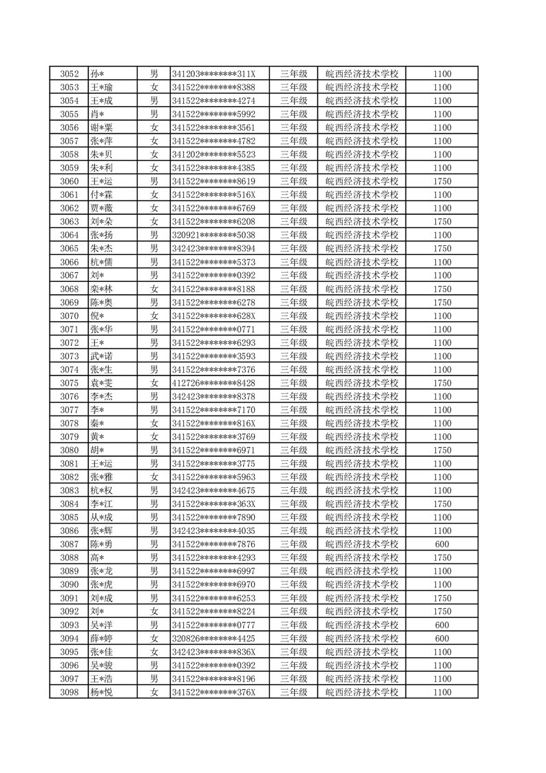
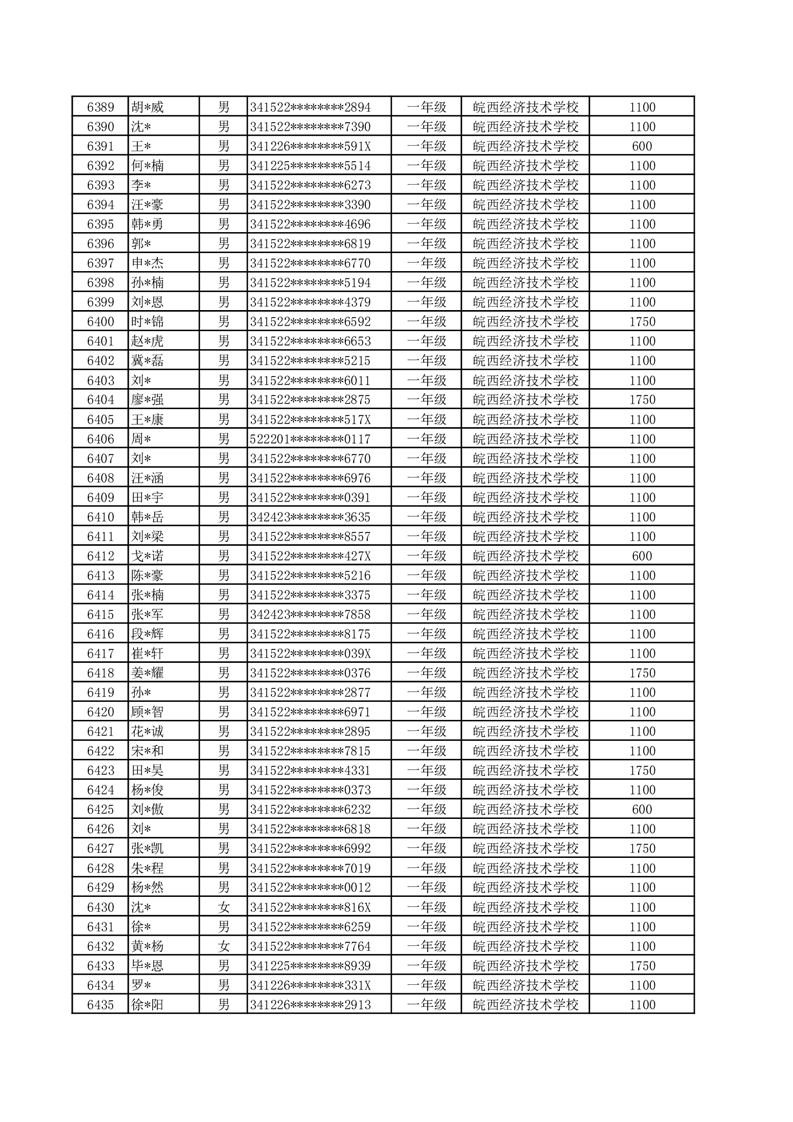
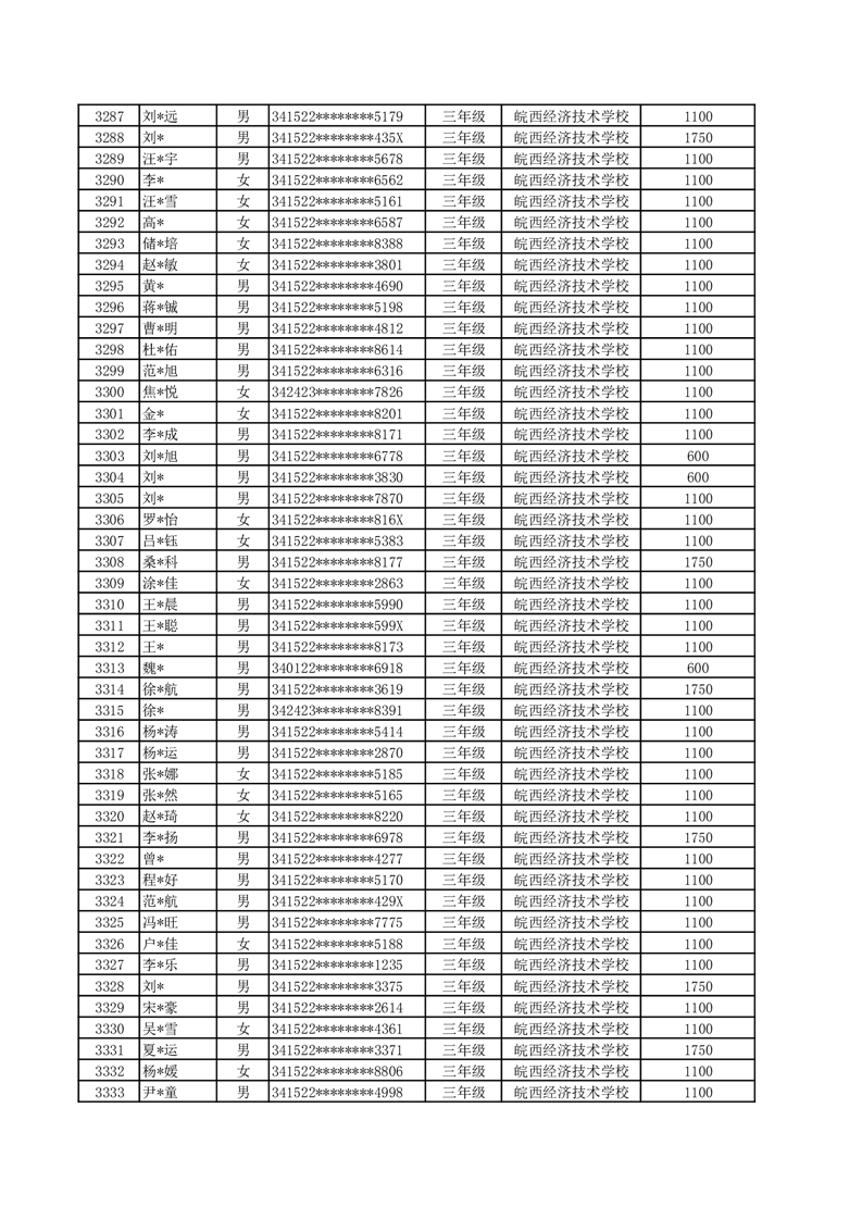
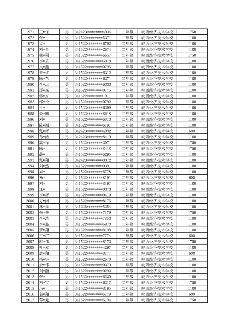
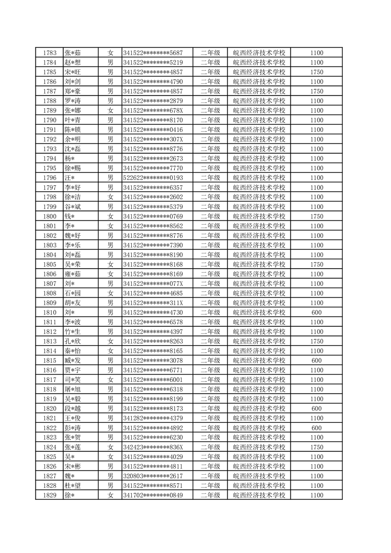
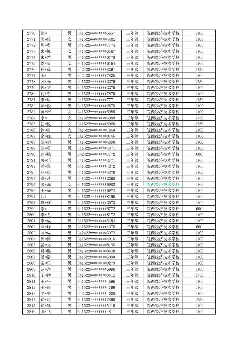
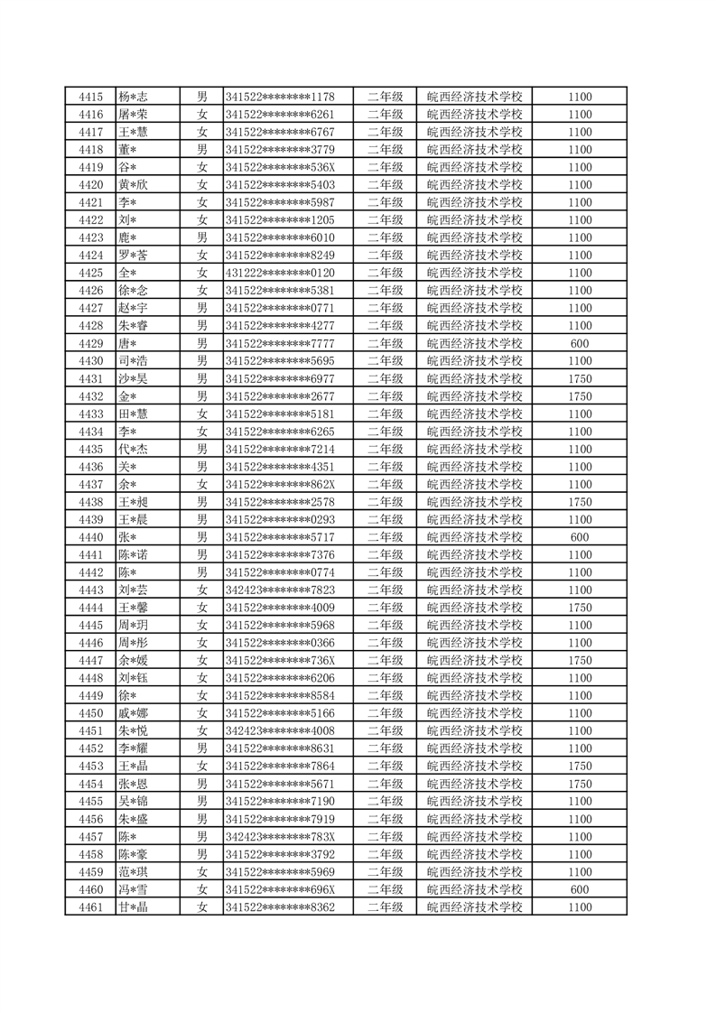
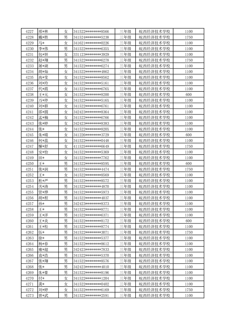
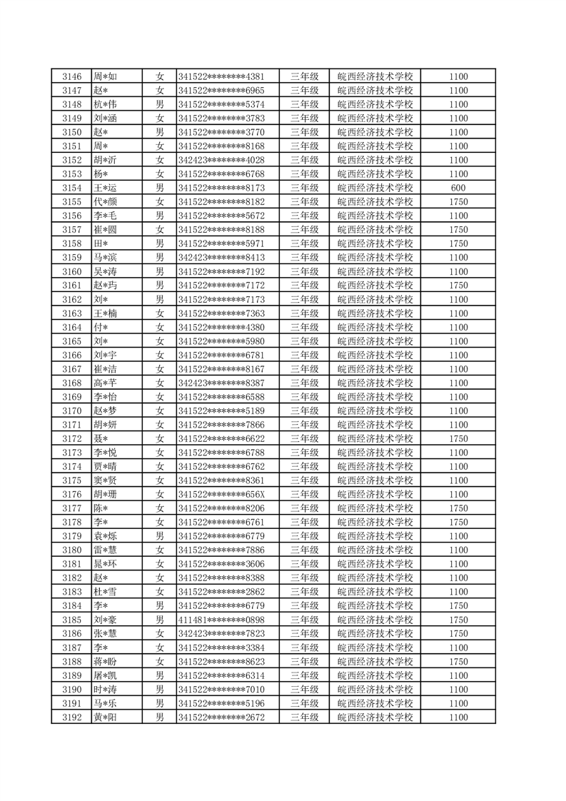
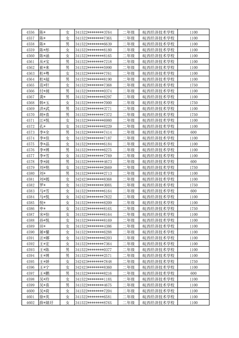
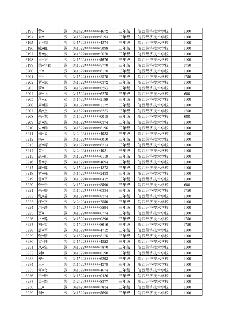
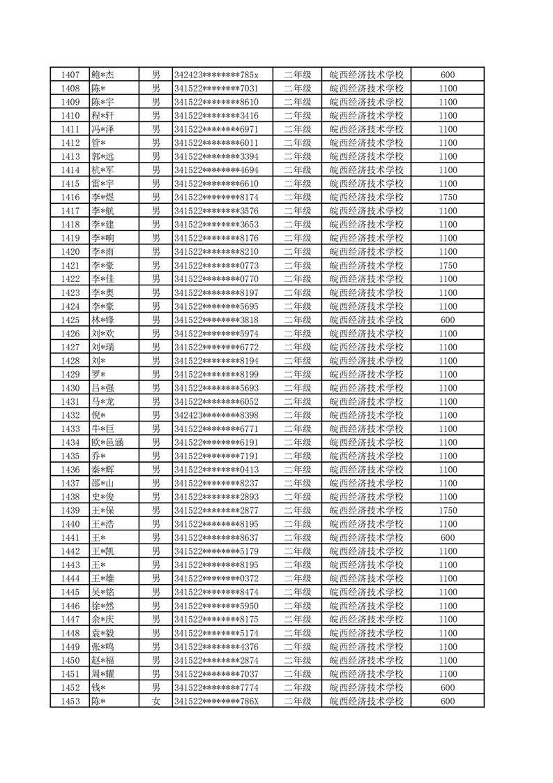
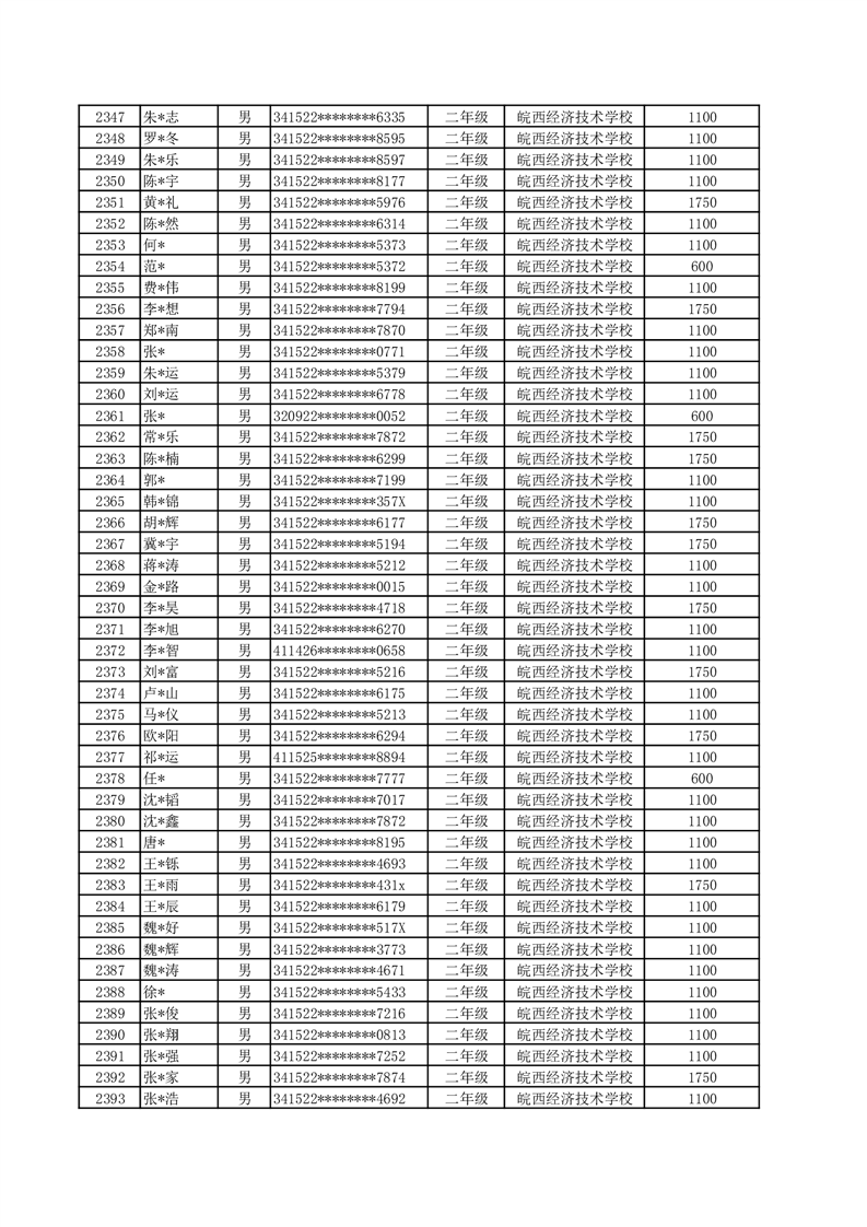
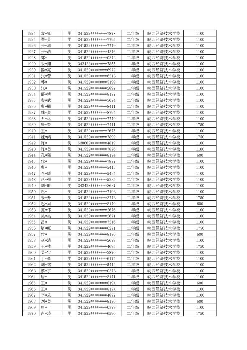
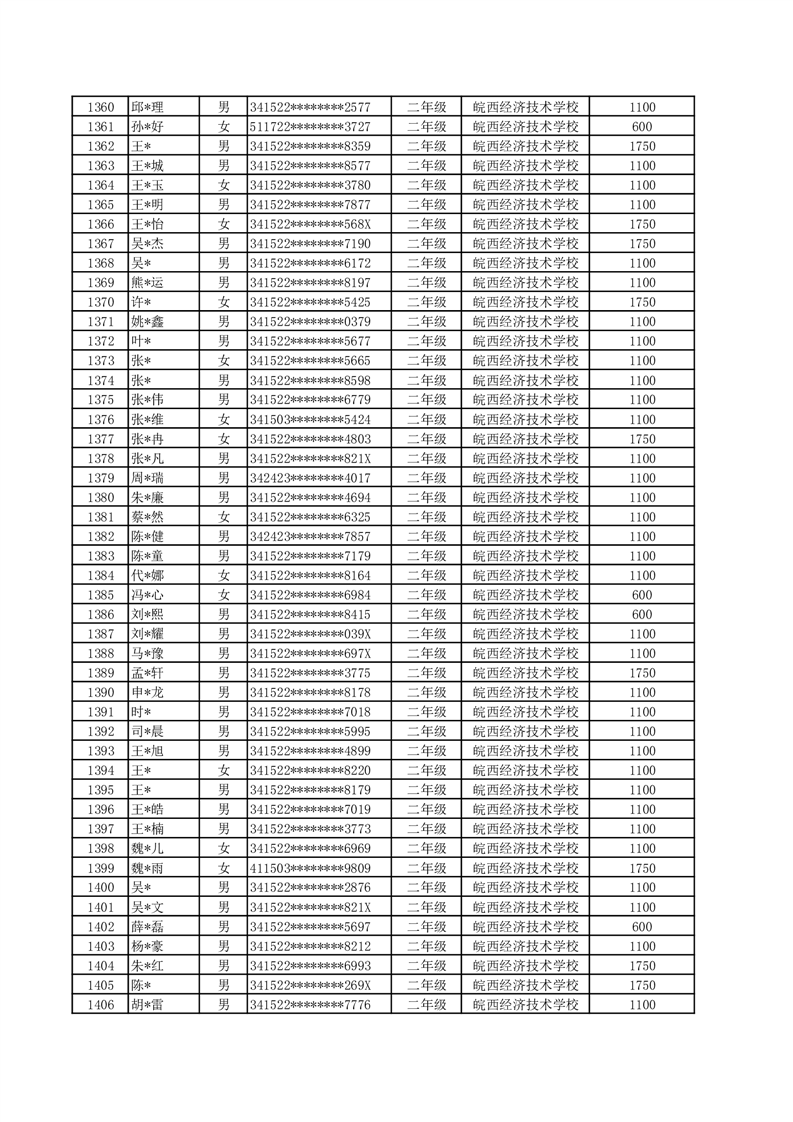
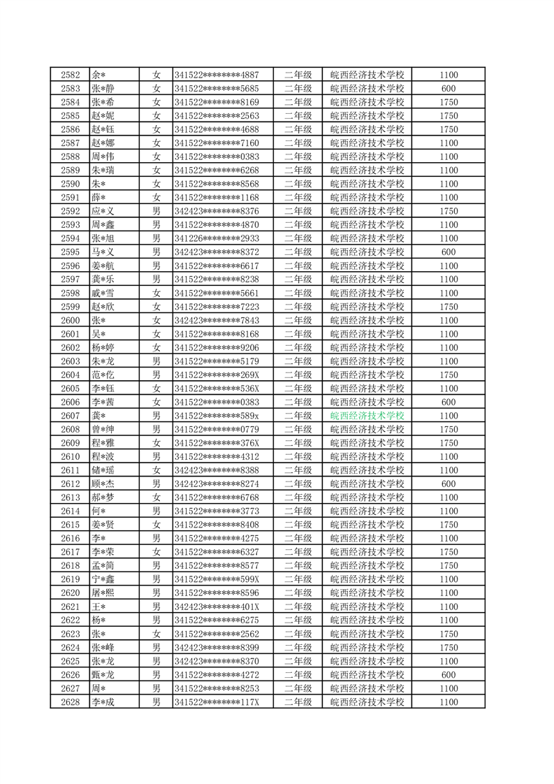
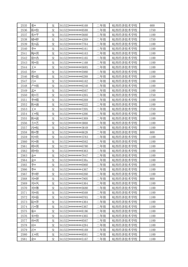
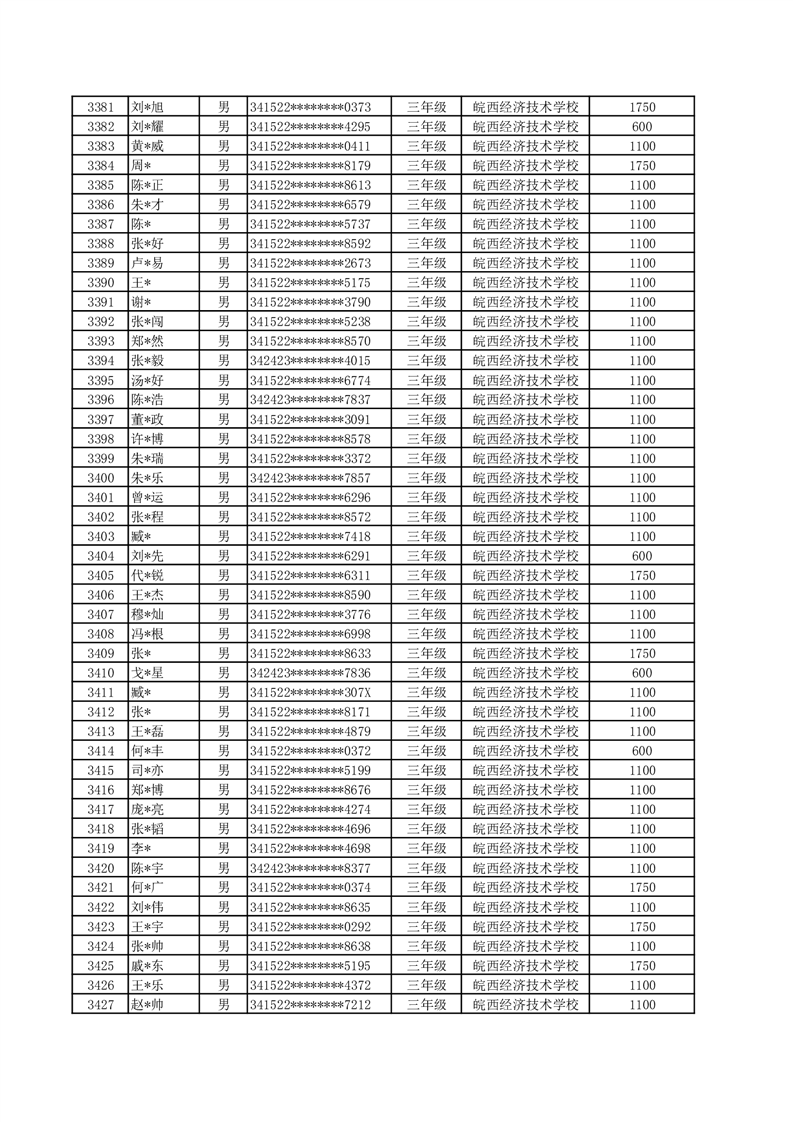
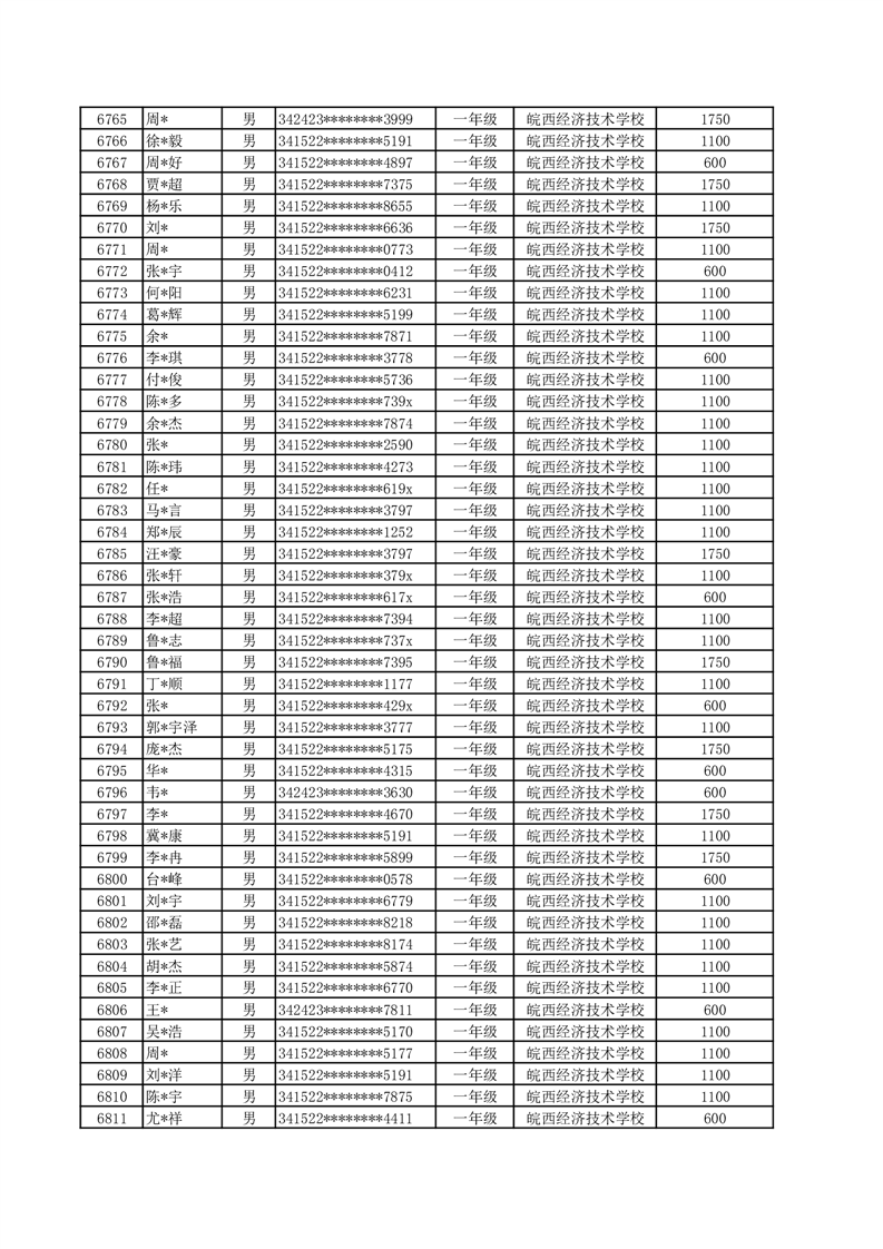
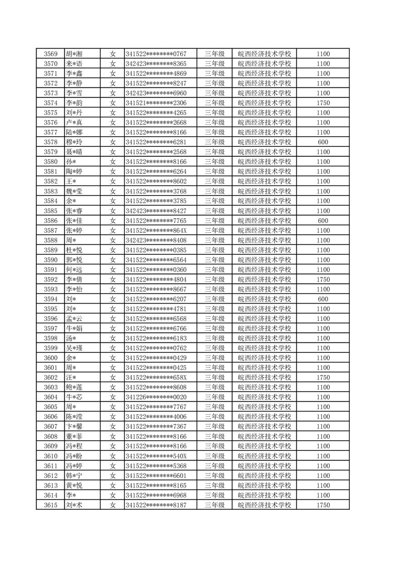
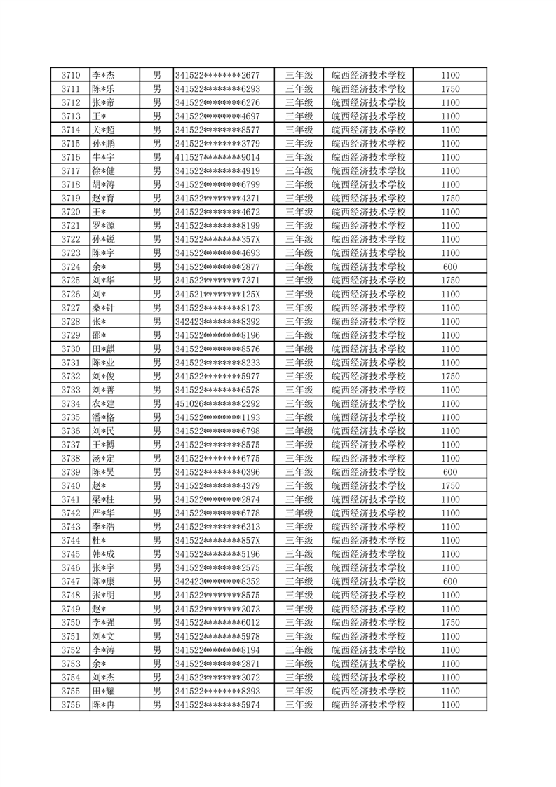
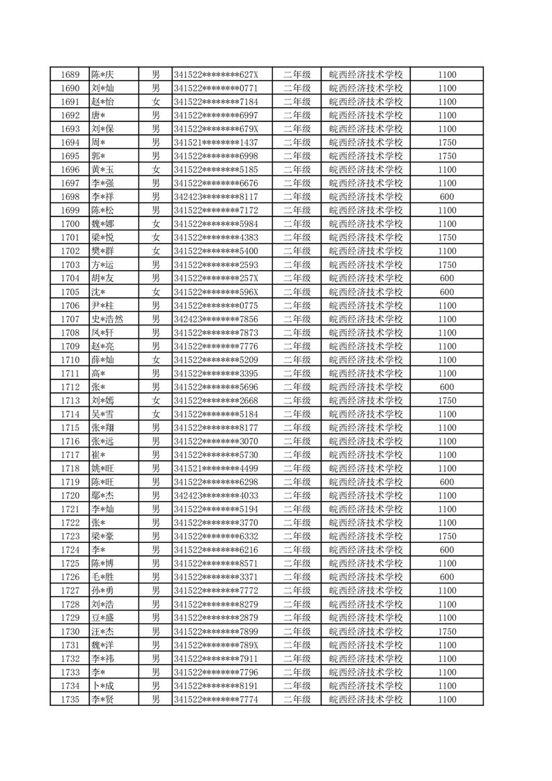
霍邱县2025年秋学期中等职业学校国家助学金资助名单公示(7825人)
有
效
性:
有效
霍邱县2025年秋学期中等职业学校国家助学金资助名单公示(7825人)
浏览次数:
来源:霍邱县教育局
时间:2025-11-10 16:32
我要纠错
文字大小:[
大
中
小
]
背景色:
公示期:2025.11.10-2025.11.16
标签:
文件下载
政策咨询
如果您对该政策文件有疑问,可以拨打标题上方的电话咨询相关部门。
打印本页
关闭窗口